弱勢原油迎生機 低位震蕩擇機多
鉅亨網新聞中心
昨日原油開盤83.09美元/桶,截止今日凌晨一點最高83.48美元/桶,最低81.55美元/桶,日線圖中下引線較長的形態,以及美盤近乎V字的反轉已經讓我們對於短線原油的回升產生了更多的信心和期待。
美國方面,昨日數據面還是較為清淡,美價雖在開盤后有短線較為強勁的反彈出現,但仍舊沒能擺脫整體高位震盪下挫的運行格局。加上之前美聯儲主席耶倫鴿派言辭以及再度熱炒推遲結束的QE話題,市場投資者情緒均處於一個極不穩定的波動周期。不過好的是美股在紛紛經歷了9月中下旬至10月中旬的快速下挫洗禮后短線的持續反彈多少還是挽回了一些大家對於后期經濟數據逐步改善的期待效果。但話說回來就目前來看,周初的美價還是存在較大的回落風險。

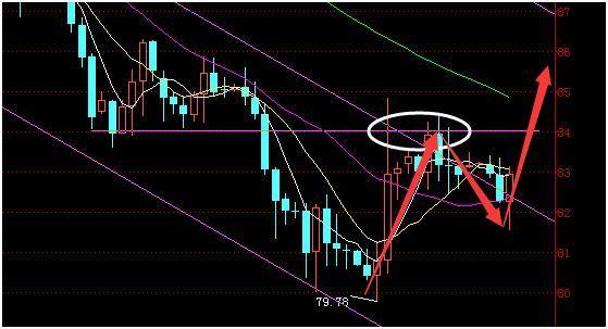
國際原油四小時圖
四小時圖中我們可以看到國際原油在經歷了較長周期的回落之后,短線迎來了低位的震盪反彈行情,不過這種回升雖然前期有很好的強陽兜底,但是隨后沒有很好的形成連續回升態勢還是讓我們對於短線的低多行為缺乏了一定的信心和底氣。可是伴隨美元短線依舊沒能脫離逐漸回落的運行時期,盡可能的輕倉去嘗試低多油價還是可以換來不錯的收益入賬。
今日操作建議
5700輕倉空單入場 止損5740一線 止盈5520區域
5580輕倉低多入場 止損5540一線 止盈5710區域
- AI點火!2026金銀銅三強鼎立大公開
- 掌握全球財經資訊點我下載APP
文章標籤
- 講座
- 公告
上一篇
下一篇